Номер 868 - ГДЗ Алгебра 8 класс. Мерзляк, Полонский. Учебник. Страница 219

Вернуться к содержанию учебника

Упражнения для повторения курса алгебры 8 класса. Страница 219

865 866 867 868 869 870 871

Вопрос

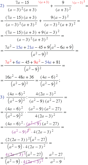
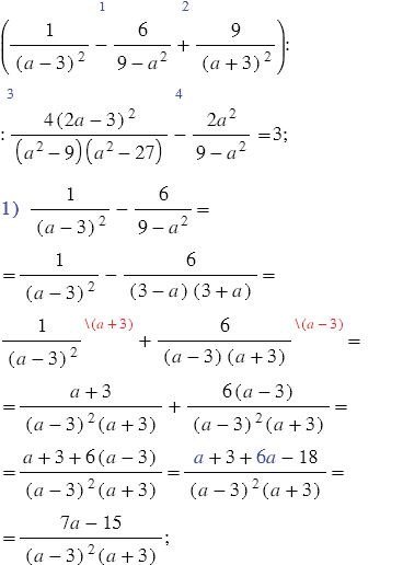
Докажите, что при всех допустимых значениях значение выражения

не зависит от значения .

Подсказка

Ответ


Вернуться к содержанию учебника