Номер 877 - ГДЗ Алгебра 8 класс. Мерзляк, Полонский. Учебник. Страница 220

Вернуться к содержанию учебника

Упражнения для повторения курса алгебры 8 класса. Страница 220

874 875 876 877 878 879 880

Вопрос

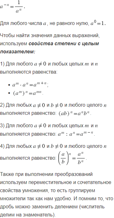
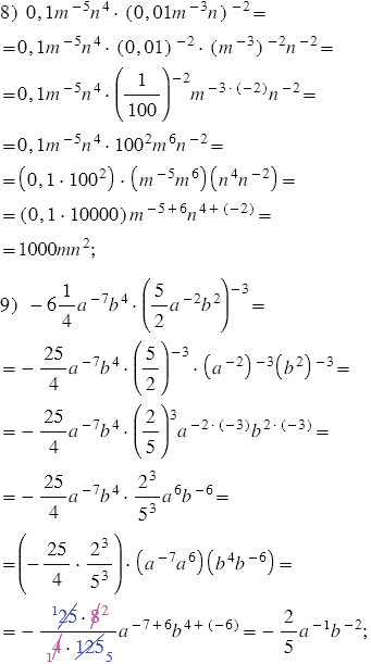
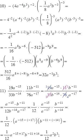
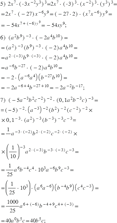
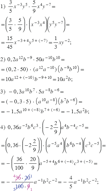
Упростите выражение:

Подсказка

Ответ


Вернуться к содержанию учебника