Номер 880 - ГДЗ Алгебра 8 класс. Мерзляк, Полонский. Учебник. Страница 221

Вернуться к содержанию учебника

Упражнения для повторения курса алгебры 8 класса. Страница 221

877 878 879 880 881 882 883

Вопрос

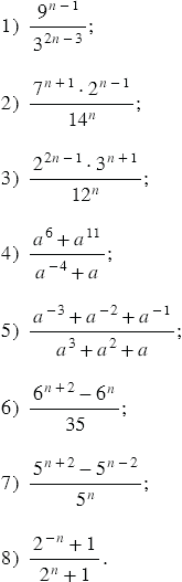
Сократите дробь ( - целое число):

Подсказка

Ответ


Вернуться к содержанию учебника