Номер 157 - ГДЗ Алгебра 8 класс. Мерзляк, Полонский. Учебник. Страница 39

Вернуться к содержанию учебника

Упражнения § 5. Страница 39

154 155 156 157 158 159 160

Вопрос

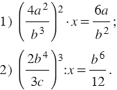
Замените переменную таким выражением, чтобы получилось тождество:

Подсказка

Ответ


Вернуться к содержанию учебника