Номер 178 - ГДЗ Алгебра 8 класс. Мерзляк, Полонский. Учебник. Страница 44

Вернуться к содержанию учебника

Упражнения § 6. Страница 44

175 176 177 178 179 180 181

Вопрос

Выполните действия:

Подсказка

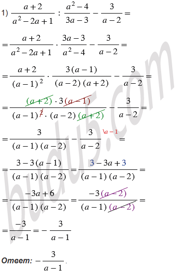
Ответ


Вернуться к содержанию учебника