Номер 184 - ГДЗ Алгебра 8 класс. Мерзляк, Полонский. Учебник. Страница 45

Вернуться к содержанию учебника

Упражнения § 6. Страница 45

181 182 183 184 185 186 187

Вопрос

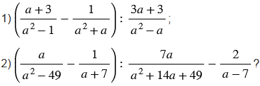
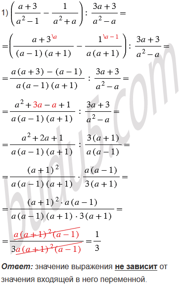
Зависит ли значение выражения от значения входящей в него переменной:

Подсказка

Вспомните:

  1. Что называют тождественным преобразованием.
  2. Какую дробь называют рациональной.
  3. Что называют одночленом.
  4. Что называют многочленом.
  5. Порядок выполнения действий.
  6. Сложение и вычитание рациональных дробей с разными знаменателями.
  7. Сложение и вычитание рациональных дробей с одинаковыми знаменателями.
  8. Умножение и деление рациональных дробей.
  9. Подобные слагаемые, правила раскрытия скобок.
  10. Степень с натуральным показателем.
  11. Свойства степени с натуральным показателем.
  12. Распределительное свойство умножения.
  13. Разложение многочленов на множители.
  14. Умножение одночлена на многочлен.
  15. Разность квадратов двух выражений.
  16. Квадрат суммы двух выражений.
  17. Противоположные числа.
  18. Правила сложения рациональных чисел.
  19. Правило вычитания рациональных чисел.

Ответ


Вернуться к содержанию учебника