Номер 513 - ГДЗ Алгебра 7 класс. Мерзляк, Полонский. Учебник. Страница 94

Вернуться к содержанию учебника

Страница 94

510 511 512 513 514 515 516

Вопрос

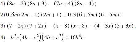
Упростите выражение:

Подсказка

Вспомните:

  1. Что называют многочленом.
  2. Что называют одночленом, подобные одночлены.
  3. Чему равно произведение разности двух выражений и их суммы.
  4. Степень с натуральным показателем.
  5. Свойства степени с натуральным показателем.
  6. Свойства действий с рациональными числами.
  7. Умножение одночлена на многочлен.
  8. Умножение многочлена на многочлен.
  9. Раскрытие скобок, приведение подобных слагаемых.
  10. Правила умножения рациональных чисел.
  11. Правила сложения рациональных чисел.
  12. Правила вычитания рациональных чисел.
  13. Модуль числа.
  14. Противоположные числа.
  15. Умножение десятичных дробей.
  16. Сложение и вычитание десятичных дробей.

Ответ


Вернуться к содержанию учебника