Номер 517 - ГДЗ Алгебра 7 класс. Мерзляк, Полонский. Учебник. Страница 95

Вернуться к содержанию учебника

Страница 95

514 515 516 517 518 519 520

Вопрос

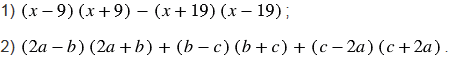
Докажите, что значение выражения не зависит от значения переменной:

Подсказка

Вспомните:

  1. Что называют многочленом.
  2. Подобные одночлены.
  3. Чему равно произведение разности двух выражений и их суммы.
  4. Степень с натуральным показателем.
  5. Свойства степени с натуральным показателем.
  6. Свойства действий с рациональными числами.
  7. Раскрытие скобок, приведение подобных слагаемых.
  8. Правила сложения рациональных чисел.
  9. Правила вычитания рациональных чисел.
  10. Модуль числа.
  11. Противоположные числа.

Ответ


Вернуться к содержанию учебника