Номер 521 - ГДЗ Алгебра 7 класс. Мерзляк, Полонский. Учебник. Страница 95

Вернуться к содержанию учебника

Страница 95

518 519 520 521 522 523 524

Вопрос

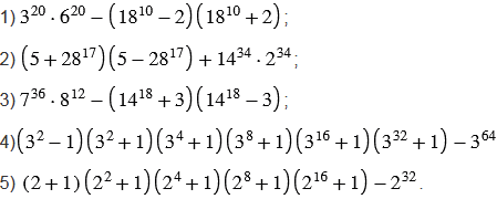
Найдите значение выражения:

Подсказка

Ответ


Вернуться к содержанию учебника