Номер 514 - ГДЗ Алгебра 7 класс. Мерзляк, Полонский. Учебник. Страница 95

Вернуться к содержанию учебника

Страница 95

511 512 513 514 515 516 517

Вопрос

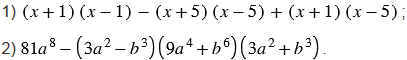
Упростите выражение:

Подсказка

Ответ


Вернуться к содержанию учебника