Номер 511 - ГДЗ Алгебра 7 класс. Мерзляк, Полонский. Учебник. Страница 94

Вернуться к содержанию учебника

Страница 94

508 509 510 511 512 513 514

Вопрос

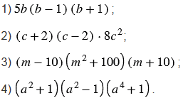
Выполните умножение:

Подсказка

Ответ


Вернуться к содержанию учебника