Номер 372 - ГДЗ Алгебра 7 класс. Мерзляк, Полонский. Учебник. Страница 72

Вернуться к содержанию учебника

Страница 72

369 370 371 372 373 374 375

Вопрос

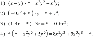
Замените звёздочки такими одночленами, чтобы образовалось тождество:

Подсказка

Ответ


Вернуться к содержанию учебника