Номер 620 - ГДЗ Алгебра 8 класс. Мерзляк, Полонский. Учебник. Страница 160

Вернуться к содержанию учебника

Упражнения §19. Страница 160

617 618 619 620 621 622 623

Вопрос

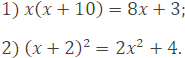
Представьте данное уравнение в виде , укажите значения коэффициентов , и :

Подсказка

Ответ


Вернуться к содержанию учебника