Номер 232 - ГДЗ Алгебра 7 класс. Мерзляк, Полонский. Учебник. Страница 48

Вернуться к содержанию учебника

Страница 48

229 230 231 232 233 234 235

Вопрос

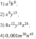
Запишите в виде степени с показателем 3 выражение:

Подсказка

Вспомните:

  1. Что называют степенью числа с натуральным показателем.
  2. Как возвести степень в степень и произведение в степень.

Ответ


Вернуться к содержанию учебника