Номер 258 - ГДЗ Алгебра 7 класс. Мерзляк, Полонский. Учебник. Страница 51

Вернуться к содержанию учебника

Страница 51

255 256 257 258 259 260 261

Вопрос

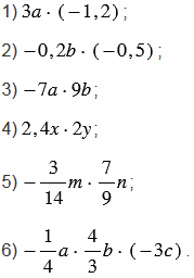
Упростите выражение:

Подсказка

Ответ


Вернуться к содержанию учебника