Номер 259 - ГДЗ Алгебра 7 класс. Мерзляк, Полонский. Учебник. Страница 51

Вернуться к содержанию учебника

Страница 51

256 257 258 259 260 261 262

Вопрос

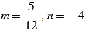
Упростите выражение и найдите его значение при .

Подсказка

Ответ


Вернуться к содержанию учебника