Номер 282 - ГДЗ Алгебра 7 класс. Мерзляк, Полонский. Учебник. Страница 56

Вернуться к содержанию учебника

Страница 56

279 280 281 282 283 284 285

Вопрос

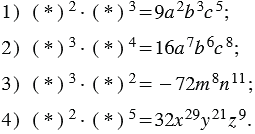
Замените звёздочки такими одночленами, чтобы выполнялось равенство:

Подсказка

Ответ


Вернуться к содержанию учебника