Номер 456 - ГДЗ Алгебра 7 класс. Мерзляк, Полонский. Учебник. Страница 85

Вернуться к содержанию учебника

Страница 85

453 454 455 456 457 458 459

Вопрос

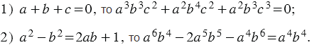
Докажите, что если:

Подсказка

Ответ


Вернуться к содержанию учебника