Номер 486 - ГДЗ Алгебра 7 класс. Мерзляк, Полонский. Учебник. Страница 89

Вернуться к содержанию учебника

Страница 89

483 484 485 486 487 488 489

Вопрос

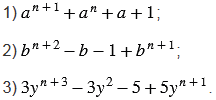
Разложите на множители выражение ( - натуральное число):

Подсказка

Вспомните:

  1. Степень с натуральным показателем.
  2. Свойства степени с натуральным показателем.
  3. Что называют многочленом.
  4. Что называют разложением многочлена на множители (способ группировки).
  5. Правила умножения рациональных чисел.
  6. Правило вычитания рациональных чисел.
  7. Свойства действий с рациональными числами.
  8. Какие числа называют противоположными.

Ответ


Вернуться к содержанию учебника