Номер 492 - ГДЗ Алгебра 7 класс. Мерзляк, Полонский. Учебник. Страница 90

Вернуться к содержанию учебника

Страница 90

489 490 491 492 493 494 495

Вопрос

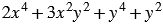
Известно, что при некоторых значениях и выполняется равенство . Найдите при этих же значениях и значение выражения .

Подсказка

Вспомните:

  1. Что называют многочленом.
  2. Что называют разложением многочлена на множители (способ группировки).
  3. Свойства действий с рациональными числами.
  4. Какие слагаемые называют подобными.
  5. Степень с натуральным показателем.
  6. Свойства степени с натуральным показателем.

Ответ


Вернуться к содержанию учебника