Номер 503 - ГДЗ Алгебра 7 класс. Мерзляк, Полонский. Учебник. Страница 93

Вернуться к содержанию учебника

Страница 93

500 501 502 503 504 505 506

Вопрос

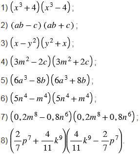
Выполните умножение:

Подсказка

Ответ


Вернуться к содержанию учебника