Номер 630 - ГДЗ Алгебра 7 класс. Мерзляк, Полонский. Учебник. Страница 111

Вернуться к содержанию учебника

Страница 111

627 628 629 630 631 632 633

Вопрос

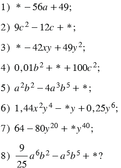
Какой одночлен следует подставить вместо звёздочки, чтобы можно было представить в виде квадрата двучлена выражение:

Подсказка

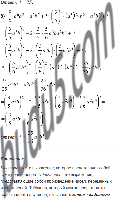
Ответ


Вернуться к содержанию учебника