Номер 652 - ГДЗ Алгебра 7 класс. Мерзляк, Полонский. Учебник. Страница 113

Вернуться к содержанию учебника

Страница 113

649 650 651 652 653 654 655

Вопрос

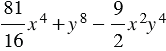
Представьте многочлен в виде произведения квадратов двух двучленов.

Подсказка

Ответ


Вернуться к содержанию учебника