Номер 672 - ГДЗ Алгебра 7 класс. Мерзляк, Полонский. Учебник. Страница 115

Вернуться к содержанию учебника

Страница 115

669 670 671 672 673 674 675

Вопрос

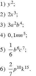
Возведите в куб одночлен:

Подсказка

Ответ


Вернуться к содержанию учебника