Номер 675 - ГДЗ Алгебра 7 класс. Мерзляк, Полонский. Учебник. Страница 118

Вернуться к содержанию учебника

Страница 118

672 673 674 675 676 677 678

Вопрос

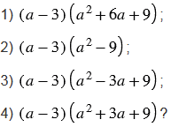
Какому из данных выражений тождественно равен многочлен :

Подсказка

Ответ


Вернуться к содержанию учебника