Номер 679 - ГДЗ Алгебра 7 класс. Мерзляк, Полонский. Учебник. Страница 119

Вернуться к содержанию учебника

Страница 119

676 677 678 679 680 681 682

Вопрос

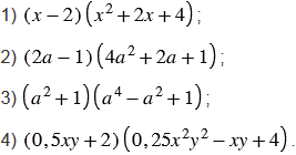
Представьте в виде многочлена выражение:

Подсказка

Ответ


Вернуться к содержанию учебника