Номер 687 - ГДЗ Алгебра 7 класс. Мерзляк, Полонский. Учебник. Страница 120

Вернуться к содержанию учебника

Страница 120

684 685 686 687 688 689 690

Вопрос

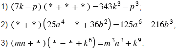
Поставьте вместо звездочек такие одночлены, чтобы выполнялось тождество:

Подсказка

Ответ


Вернуться к содержанию учебника