Номер 704 - ГДЗ Алгебра 7 класс. Мерзляк, Полонский. Учебник. Страница 121

Вернуться к содержанию учебника

Страница 121

701 702 703 704 705 706 707

Вопрос

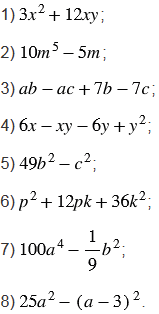
Разложите на множители:

Подсказка

Ответ


Вернуться к содержанию учебника