Номер 715 - ГДЗ Алгебра 7 класс. Мерзляк, Полонский. Учебник. Страница 124

Вернуться к содержанию учебника

Страница 124

712 713 714 715 716 717 718

Вопрос

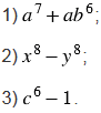
Разложите на множители:

Подсказка

Ответ


Вернуться к содержанию учебника