Номер 737 - ГДЗ Алгебра 7 класс. Мерзляк, Полонский. Учебник. Страница 126

Вернуться к содержанию учебника

Страница 126

734 735 736 737 738 739 740

Вопрос

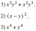
Значения переменных и таковы, что выполняются равенства . Найдите значение выражения:

Подсказка

Ответ


Вернуться к содержанию учебника