Номер 919 - ГДЗ Алгебра 7 класс. Мерзляк, Полонский. Учебник. Страница 184

Вернуться к содержанию учебника

Страница 184

916 917 918 919 920 921 922

Вопрос

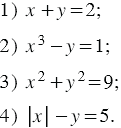
Не выполняя построения, найдите координаты точек пересечения с осями координат графика уравнения:

Подсказка

Ответ


Вернуться к содержанию учебника