Вернуться к содержанию учебника
Выберите год учебника
№374 учебника 2018-2020 (стр. 67):
Найдите значение выражения:

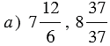
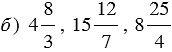
№374 учебника 2011-2017 (стр. 59):
Запишите числа:
в виде натурального числа;
так, чтобы их дробная часть была правильной.
№374 учебника 2018-2020 (стр. 67):
Вспомните:
№374 учебника 2011-2017 (стр. 59):
Вспомните:
Вернуться к содержанию учебника