Вернуться к содержанию учебника
Выберите год учебника
№539 учебника 2018-2020 (стр. 97):
Выполните действия:
а) 27,36
0,1 - 0,09;
б) (54,23
3,2 - 54,13
3,2 + 0,68) : 0,2;
в) (23,82 + 54,58)
(1,202 + 0,698) - 2,1
(3,53 - 1,89);
г) 316 219 - (27 090 : 43 + 16 422 : 119).
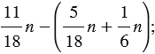
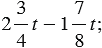
№539 учебника 2011-2017 (стр. 88):
Упростите выражение:
а)
ж) 
б)
з) 
в)
и) 
г)
к) 
д)
л) 
е)
м) 
№539 учебника 2018-2020 (стр. 97):
Вспомните:
№539 учебника 2011-2017 (стр. 88):
Вспомните:
Вернуться к содержанию учебника