Задание 769 - ГДЗ Математика 6 класс. Виленкин, Жохов. Учебник часть 1

Старая и новая редакции

Вернуться к содержанию учебника

766 767 768 769 770 771 772

Вопрос

Выберите год учебника

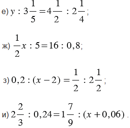
№769 учебника 2018-2020 (стр. 141):

Решите уравнение:


№769 учебника 2011-2017 (стр. 126):

числа равны этого числа. Какое это число?

Подсказка

№769 учебника 2018-2020 (стр. 141):


№769 учебника 2011-2017 (стр. 126):

Вспомните:

  1. Как решают уравнения.
  2. Свойства умножения.
  3. Как найти дробь от числа.

Ответ

№769 учебника 2018-2020 (стр. 141):


№769 учебника 2011-2017 (стр. 126):


Вернуться к содержанию учебника