Вернуться к содержанию учебника
Выберите год учебника
№865 учебника 2018-2020 (стр. 156):
Какой знак действия надо поставить вместо
, чтобы получилось верное равенство:
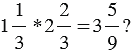
а)
в) 
б)
г) 
№865 учебника 2011-2017 (стр. 141):
Вычислите:






№865 учебника 2018-2020 (стр. 156):
Вспомните:
№865 учебника 2011-2017 (стр. 141):
Вспомните:
Вернуться к содержанию учебника