Вернуться к содержанию учебника
Выберите год учебника
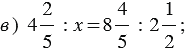
№880 учебника 2018-2020 (стр. 158):
Найдите неизвестный член пропорции:




№880 учебника 2011-2017 (стр. 143):
Заполните таблицу:
![]() |
1 | 0,5 | |||||||
![]() |
3 | ||||||||
![]() |
![]() |
5![]() |
1 | ||||||
![]() |
![]() |
16![]() |
1 |
№880 учебника 2018-2020 (стр. 158):
Вспомните:
№880 учебника 2011-2017 (стр. 143):
Вспомните:
Вернуться к содержанию учебника