Задание 171 - ГДЗ Математика 6 класс. Виленкин, Жохов. Учебник часть 2. Страница 43

Старая и новая редакции

Вернуться к содержанию учебника

168 169 170 171 172 173 174

Вопрос

№171 учебника 2018-2020 (стр. 43):

Решите уравнение:

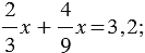
а)

б)

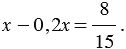
в)

Подсказка

№171 учебника 2018-2020 (стр. 43):

Вспомните:

  1. Как решать уравнения.
  2. Обыкновенные дроби.
  3. Десятичная запись дробных чисел.
  4. Сложение, вычитание, умножение и деление обыкновенных дробей.
  5. Вычитание десятичных дробей.

Ответ

№171 учебника 2018-2020 (стр. 43):


Вернуться к содержанию учебника