Задание 181 - ГДЗ Математика 6 класс. Виленкин, Жохов. Учебник часть 2. Страница 46

Старая и новая редакции

Вернуться к содержанию учебника

178 179 180 181 182 183 184

Вопрос

№181 учебника 2018-2020 (стр. 46):

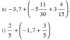
Найдите значение выражения:

Подсказка

Ответ

№181 учебника 2018-2020 (стр. 46):


Вернуться к содержанию учебника