Вернуться к содержанию учебника
№207 учебника 2018-2020 (стр. 51):
Найдите значение выражения:
а) (62
28)
40;
б)
50 + (37 + 30);
в)
6
(
8
20);
г)
7
(
12 + 13);
д) 4,1
(
1,8 + 2,5);
е) (
3,2 + 60)
0,8;
ж) (14,5
85) + 55,5;
з) (
2,1 + 3,7) + 4,4;
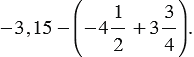
и) 
к) 
л) 
м) 
№207 учебника 2018-2020 (стр. 51):
Вспомните:
Вернуться к содержанию учебника