Задание 241 - ГДЗ Математика 6 класс. Виленкин, Жохов. Учебник часть 2. Страница 59

Старая и новая редакции

Вернуться к содержанию учебника

238 239 240 241 242 243 244

Вопрос

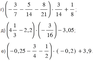
№241 учебника 2018-2020 (стр. 59):

Выполните действия:

Подсказка

Ответ

№241 учебника 2018-2020 (стр. 59):


Вернуться к содержанию учебника