Задание 332 - ГДЗ Математика 6 класс. Виленкин, Жохов. Учебник часть 2. Страница 78

Старая и новая редакции

Вернуться к содержанию учебника

329 330 331 332 333 334 335

Вопрос

№332 учебника 2018-2020 (стр. 78):

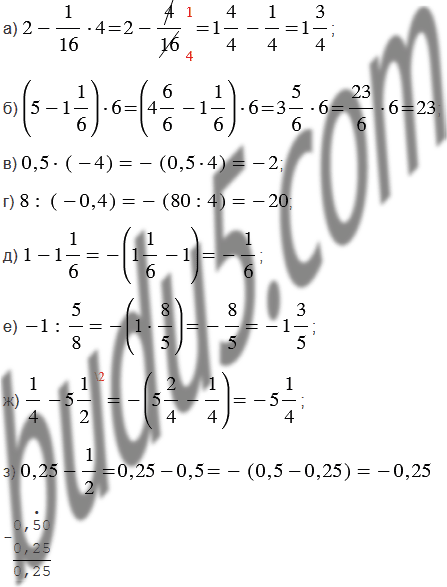
Вычислите:

Подсказка

Ответ

№332 учебника 2018-2020 (стр. 78):


Вернуться к содержанию учебника