Вернуться к содержанию учебника
№352 учебника 2018-2020 (стр. 86):
Решите уравнение:
а) 7,2
(6,2
) = 2,2;
б)
5 + (
25) =
4;
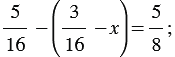
в) 
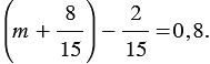
г) (
+ 3)
17 =
20;
д)
(10
) + 23,5 =
40,4;
е) 
№352 учебника 2018-2020 (стр. 86):
Вспомните:
Вернуться к содержанию учебника