Задание 371 - ГДЗ Математика 6 класс. Виленкин, Жохов. Учебник часть 2. Страница 90

Старая и новая редакции

Вернуться к содержанию учебника

368 369 370 371 372 373 374

Вопрос

№371 учебника 2018-2020 (стр. 90):

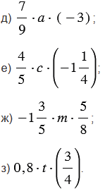
Упростите выражение:

а) 8,310;

б) 4(6,5);

в) (1,5)2,2;

г) 3,2(3);

Подсказка

Ответ

№371 учебника 2018-2020 (стр. 90):


Вернуться к содержанию учебника