Задание 373 - ГДЗ Математика 6 класс. Виленкин, Жохов. Учебник часть 2. Страница 90

Старая и новая редакции

Вернуться к содержанию учебника

370 371 372 373 374 375 376

Вопрос

№373 учебника 2018-2020 (стр. 90):

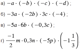
Определите знак коэффициента:

Подсказка

№373 учебника 2018-2020 (стр. 90):

Вспомните:

  1. Что такое коэффициент.
  2. Умножение рациональных чисел.
  3. Модуль числа.
  4. Четные и нечетные числа.

Ответ

№373 учебника 2018-2020 (стр. 90):


Вернуться к содержанию учебника