Задание 381 - ГДЗ Математика 6 класс. Виленкин, Жохов. Учебник часть 2. Страница 92

Старая и новая редакции

Вернуться к содержанию учебника

378 379 380 381 382 383 384

Вопрос

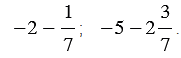
№381 учебника 2018-2020 (стр. 92):

Вычислите:

Подсказка

№381 учебника 2018-2020 (стр. 92):

Вспомните:

  1. Сложение рациональных чисел.
  2. Вычитание рациональных чисел.
  3. Модуль числа.
  4. Сложение и вычитание обыкновенных дробей.
  5. Неправильные дроби.

Ответ

№381 учебника 2018-2020 (стр. 92):


Вернуться к содержанию учебника