Задание 386 - ГДЗ Математика 6 класс. Виленкин, Жохов. Учебник часть 2. Страница 92

Старая и новая редакции

Вернуться к содержанию учебника

383 384 385 386 387 388 389

Вопрос

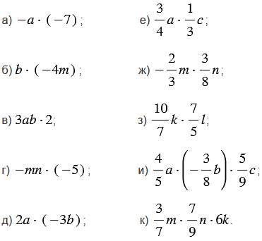
№386 учебника 2018-2020 (стр. 92):

Упростите выражение и подчеркните его числовой коэффициент:

Подсказка

№386 учебника 2018-2020 (стр. 92):

Вспомните:

  1. Свойства умножения рациональных чисел.
  2. Умножение рациональных чисел.
  3. Модуль числа.
  4. Умножение обыкновенных дробей.
  5. Сокращение дробей.

Ответ

№386 учебника 2018-2020 (стр. 92):


Вернуться к содержанию учебника