Задание 419 - ГДЗ Математика 6 класс. Виленкин, Жохов. Учебник часть 2. Страница 98

Старая и новая редакции

Вернуться к содержанию учебника

416 417 418 419 420 421 422

Вопрос

№419 учебника 2018-2020 (стр. 98):

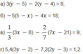
Решите уравнение:

Подсказка

№419 учебника 2018-2020 (стр. 98):

Вспомните:

  1. Как решают уравнения.
  2. Раскрытие скобок, приведение подобных слагаемых.
  3. Сложение рациональных чисел.
  4. Вычитание рациональных чисел.
  5. Умножение рациональных чисел.
  6. Модуль числа.
  7. Умножение обыкновенных дробей.
  8. Сокращение дробей.
  9. Умножение десятичных дробей.
  10. Сложение и вычитание десятичных дробей.
  11. Деление и дроби.
  12. Неправильные дроби.
  13. Смешанные числа.
  14. Деление с остатком.

Ответ

№419 учебника 2018-2020 (стр. 98):


Вернуться к содержанию учебника