Задание 417 - ГДЗ Математика 6 класс. Виленкин, Жохов. Учебник часть 2. Страница 97

Старая и новая редакции

Вернуться к содержанию учебника

414 415 416 417 418 419 420

Вопрос

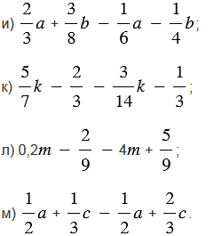
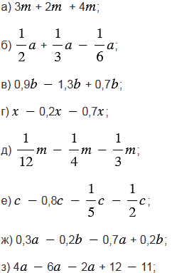
№417 учебника 2018-2020 (стр. 97):

Приведите подобные слагаемые:

Подсказка

Ответ

№417 учебника 2018-2020 (стр. 97):


Вернуться к содержанию учебника