Задание 459 - ГДЗ Математика 6 класс. Виленкин, Жохов. Учебник часть 2. Страница 104

Старая и новая редакции

Вернуться к содержанию учебника

456 457 458 459 460 461 462

Вопрос

№459 учебника 2018-2020 (стр. 104):

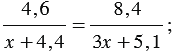
Решите уравнение, используя основное свойство пропорции:

а)

б)

Подсказка

Ответ

№459 учебника 2018-2020 (стр. 104):


Вернуться к содержанию учебника