Задание 620 - ГДЗ Математика 6 класс. Виленкин, Жохов. Учебник часть 2. Страница 146

Старая и новая редакции

Вернуться к содержанию учебника

617 618 619 620 621 622 623

Вопрос

№620 учебника 2018-2020 (стр. 146):

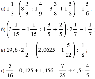
Выполните действия:

Подсказка

№620 учебника 2018-2020 (стр. 146):

Вспомните:

  1. Порядок выполнения действий.
  2. Умножение смешанных чисел и обыкновенных дробей.
  3. Деление смешанных чисел и обыкновенных дробей.
  4. Преобразование смешанных чисел.
  5. Сокращение дробей.
  6. Преобразование десятичных дробей.
  7. Деление и дроби.
  8. Неправильные дроби.
  9. Деление с остатком.
  10. Сложение и вычитание смешанных чисел.
  11. Приведение дробей к общему знаменателю.
  12. Сложение десятичных дробей.

Ответ

№620 учебника 2018-2020 (стр. 146):


Вернуться к содержанию учебника